AI của tỷ phú Elon Musk "phản chủ": Vừa tuyên bố giải được bài toán siêu khó, sau đó lại tự thú "Hình như tôi sai rồi"
Đây cũng không phải lần đầu Grok-3 khiến ông chủ của mình phải bẽ bàng trước người dùng toàn thế giới.
Vài ngày trước, tỷ phú Elon Musk đã công bố mô hình AI hàng đầu mới của công ty xAI mang tên Grok 3, khẳng định đây là “trí tuệ nhân tạo thông minh nhất trên Trái Đất”. Và tất nhiên, ông cũng không bỏ lỡ cơ hội nào để khoe khoang về trình độ “đứa con” tinh thần của mình – dù không ít lần AI này khiến vị tỷ phú phải bẽ mặt.
Mới đây nhất, ông Musk đã chia sẻ một dòng tweet của người dùng Luis Batalha kèm lời ca ngợi Grok-3 đang “trở nên ngày càng phi thường”. Dòng tweet này cho biết Grok-3 đã giải được bài toán khó nhất trong cuộc thi toán Putnam 2025 vừa qua.
Được biết, kỳ thi toán Putnam là ký thi được tổ chức hàng năm cho sinh viên đại học Mỹ và Canada, và từng được tạp chí Time Magazine đánh giá là kỳ thi toán khó nhất thế giới. Một thống kê cho thấy điểm số cao nhất của kỳ thi toán Putnam 2024 kéo dài 6 giờ chỉ là 90 trên tổng số 120 điểm, trong khi điểm trung bình của gần 4.000 sinh viên tham gia cuộc thi chỉ là 8 điểm.
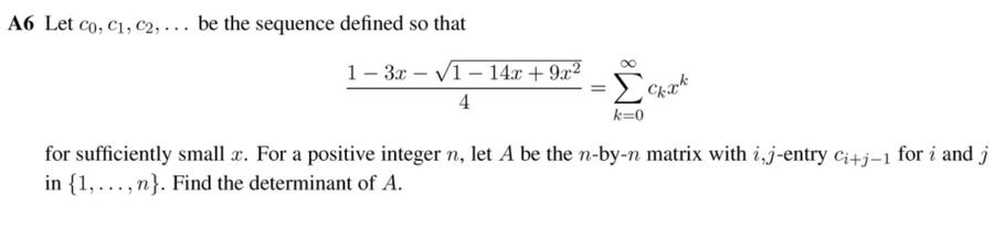
Được biết trong kỳ thi Putnam 2025, hơn 500 người tham gia cuộc thi đã không giải được bài toán về tìm định thức của ma trận A theo các điều kiện cho trước như dưới đây:
Thế nhưng chế độ Think trong AI Grok-3 của ông Elon Musk đã giải được bài toán này chỉ trong vòng 8 phút.
Tuy nhiên, niềm vui của ông Musk nhanh chóng bị phủ bóng bởi một diễn biến bất ngờ. Sau khi lời giải của Grok 3 được công bố, nhiều nhà toán học, lập trình viên và cả những người tò mò đã sử dụng chính Grok 3 để kiểm tra lại kết quả.

Kết quả thật sự sốc: chính Grok 3 lại tuyên bố rằng cách giải mà nó đưa ra trước đó là sai! Một số người dùng đã chia sẻ đoạn hội thoại với AI, trong đó Grok 3 thừa nhận lỗi logic trong lập luận của mình khi đối chiếu với yêu cầu của bài toán Putnam.
Đây cũng không phải lần đầu Grok-3 làm ông Elon Musk bẽ mặt. Trước đó nhiều ảnh chụp màn hình cho thấy AI này cho rằng, chính người tạo ra mình – ông Elon Musk – là người phát tán tin giả. Không lâu sau đó, đội ngũ phát triển của Grok phải tắt khả năng trả lời các câu hỏi như “cho biết nguồn tin cho thấy ông Musk phát tán tin giả”.










